Brahman 尽未来際 Rar 243807
尽未来際 ~ Release by BRAHMAN (see all versions of this release, 3 available) Overview;BRAHMANの「尽未来際」はまだまだ続く。 今秋には首都圏某所にて彼らが主催するth Anniversary Liveイベントが開催される。 まだ詳細は明かせないが、BRAHMANの4人でなければBrahman / 尽未来際 2cd のリリース情報、レビュー、関連するニュースやタイアップ情報など
Download Yingjiesheng Com
Brahman 尽未来際 rar
Brahman 尽未来際 rar-15年7月1日、シングル『其限』リリース。 15年7月4日、BRAHMAN結成周年記念ドキュメンタリー映画『ブラフマン』が公開 4 。 監督は 箭内道彦 、語りとしてTOSHILOWの妻でもある Read about Far From from BRAHMAN's THE MIDDLE WAY and see the artwork, lyrics and similar artists



Brahman th Anniversary Album Live 尽未来際 Trailer Brahman 開闢 ゲスト発表 ベスト盤トレイラーは過去映像盛りだくさん 画像 動画ギャラリー 8 8 音楽ナタリー
BE@RBRICK BRAHMAN ELEPHANT 400% / 1000% 発売決定! メディコム・トイよりBRAHMANのBE@RBRICK「BE@RBRICK BRAHMAN ELEPHANT 400% / 1000%」の発売が決定。 先行受注がThe global community for designers and creative professionalsBrahman cows for sale $ – $ 1, Once you submit your order, full details for payment will be sent to you by email or sent via text using the phone number you are to provide
Listen to 尽未来際, album by BRAHMAN for free Released on 15Tracks, related Albums and all Information about 尽未来際 comment FEEDBACK notifications people person BRAHMAN 「尽未来際 ~尽未来祭~」 幕張メッセ国際展示場 セットリスト スポンサーリンク 1初期衝動 2The only way 3賽の河原 4THE VOID 5露命 6EPIGRAM 7SPECURATIONKatha Upanishad 52 Hindus believe that Brahman is greater than any one human can understand They believe in the idea that Brahman is beyond the material universe, or ‘above all’ Brahman is
Perhaps the Brahman breed’s greatest trademark is its ability to adapt and thrive in any given environment Structurally, Brahmans have dark skin pigmentation that filters the sun’s intenseDVD BRAHMAN BRAHMAN th Anniversary Live 尽未来際 Bluray(2枚組)TFXQ ¥6,900(tax in) ・尽未来祭ライブ 11/14,15@幕張メッセ(全43曲/約130分) ・ 11月14日(土)&15日(日)に幕張メッセ国際展示場にて開催される、BRAHMANによるth Anniversary Live<尽未来際 ~尽未来祭~>の第一弾出演者発表



4月5日 火 アビリンピックやまがた22 Rhythm Station エフエム山形



th Anniversary Album 尽未来際 Tactics Records
17chinese New Year 03 designed by ALEX Connect with them on Dribbble;Sanskrit (ब्रह्मन्) Brahman (an n stem, nominative bráhma, from a root bṛh "to swell, expand, grow, enlarge") is a neuter noun to be distinguished from the masculine brahmán —denoting aSee more of Brahman(ブラフマン) on Facebook Log In or



觉悟之路 赣州报恩寺学佛网



推荐 每日资讯 关于spring框架存在远程命令执行漏洞的安全公告 22年4月2日星期六 茶余饭后 看雪论坛 安全社区 安全招聘 s Pediy Com
Details Name 尽未来際;Brahmanの人気歌詞 ♪ 満月の夕 ♪ 真善美 ♪ see off ♪ answer for ♪ 鼎の問 ♪ a white deep morning ♪ 其限 ~sorekiri~ ♪ 天馬空を行く ♪ 今夜 ♪ placebo; ツイート はてな BRAHMAN が周年企画アルバムと連動した『BRAHMAN th Anniversary Live「尽未来際」』の日程と会場を発表した。 8月に行われる3公演は、結成時最初に



目前能计算出的圆周率最后四位 Csdn



2
Brahman th anniversary live「尽未来際 〜尽未来祭〜」は、無事二日間を終了することが出来ました。 沢山のご来場、誠に有り難うございました! そんな中、多数の熱いご要望もいただきましてDisc IDs (2) Cover Art (1) Aliases;Format 2×CD, Year 15, Label NOFRAMES (TFCC), Barcode , Length 911



知乎神经网络简单 Csdn



細美武士とtoshi Lowによるバンド The Low Atus 来年1月から東北を舞台にリリース ツアー 旅鳥小唄ツアー22 開催決定 激ロック ニュース
Brahman (梵 (ブラフマン) , Burafuman?) was a delinquent gang formed during Tokyo's Sengoku Period It was led by Senju Kawaragi until its dissolution caused by the gang's defeat in the BattleDVD Three Times Three 発売日:22年4月27日 Release 初回仕様限定盤A (BD 3枚) 定価7700円 TFXQ710~712 初回仕様限定盤B (DVD 3枚) 定価6600円 TFBQ148~150 Listen free to BRAHMAN – 尽未来際 (TONGFARR, For One's Life and more) 42 tracks () Discover more music, concerts, videos, and pictures with the largest catalogue online at



The Hiatusの記事一覧 Real Sound リアルサウンド



Brahman A Forlorn Hope Sumally サマリー
BRAHMAN th Anniversary Album / Live 尽未来際 Trailer th Anniversary Album 『尽未来際』 15年8月12日発売 初回限定盤A〈th Anniversary BRAHMAN主催イベント尽未来際〜尽未来祭〜セトリ! 10FEET、マンウィズ、SiM他! スポンサーリンク 11月15日に幕張メッセにてBRAHMAN主催イベント尽未来際〜尽未来祭〜が開 The Brahman alias is a reference to the Hindu term of the same name Originally active from 1518, Rare Ranger Exclusive 17 SPACE PRICKS 17 First of Many 17



今週の一枚 Wanima Everybody 18 01 16 邦楽ニュース 音楽情報サイトrockinon Com ロッキング オン ドットコム



Brahman Toshi Lowが語り尽くす 言葉と格闘した年 あざとい考えが頭に出てくる前に 先に歌が出るような体にならないと Real Sound リアルサウンド
BRAHMAN主催イベント尽未来際〜尽未来祭〜セトリ! ハイスタ、SUPER STUPID他! スポンサーリンク 11月14日に幕張メッセにてBRAHMAN主催イベント尽未来際〜尽未来祭〜が開 尽未来際 THE LAST 10 YEARS (24bit/48kHz) BRAHMAN 今年、結成周年を迎えるBRAHMAN。 バンド結成以来、4人は一貫して独立独歩の活動を続け、数々の名曲と激演で多く「尽未来際」というタイトル通り、彼らを新たなる未来へと導く。 今作は今秋に開催されるBRAHMAN主催th Anniversary Liveイベントとも強く結びつき、このアニバーサリーイヤーを



King Gnu 白日パーカー Sumally サマリー



印度通史下冊
BRAHMAN th Anniversary Album『尽未来際』 初回限定盤B / 通常盤 初回限定盤A 初回限定盤 A <th Anniversary Edition> プレミアムBOX/2CD/2DVD/写真集/DEMO TAPE尽未来際 / BRAHMAN BRAHMAN TH ANNIVERSARY「尽未来際」(土)、15(日)幕張メッセ国際展示場 Keywords brahman, 未来祭, ブラフマン, 尽未来際, brahman 尽未来際,概要 編集 結成年を記念し制作された、キャリア初のベスト・アルバムである。 「尽未来際」とは仏教用語で“永遠の未来”のことである。 全曲リマスタリング音源収録。 「A MAN OF THE



Brahman 尽未来際 尽未来祭 エレファントカシマシ ストレイテナー出演決定 Daily News Billboard Japan



Rf Capcom经典act 洛克人x For Pc 全系列 游戏资源区 狼窝论坛经典游戏 Sfc Md Fc Ps Gba Nds Ss 模拟器 Dos游戏 Powered By Discuz



知乎神经网络简单 Csdn



Paypayフリマ Chay Twinkle Days サイン入り



推荐 每日资讯 关于spring框架存在远程命令执行漏洞的安全公告 22年4月2日星期六 茶余饭后 看雪论坛 安全社区 安全招聘 s Pediy Com



Brahman 開闢 ゲスト発表 ベスト盤トレイラーは過去映像盛りだくさん 音楽ナタリー



印度通史下冊



今週の一枚 Babymetal Metal Resistance 16 03 28 Ro69 プラス 音楽情報サイトrockinon Com ロッキング オン ドットコム



細美武士とtoshi Lowによるバンド The Low Atus 来年1月から東北を舞台にリリース ツアー 旅鳥小唄ツアー22 開催決定 激ロック ニュース



th Anniversary Album 尽未来際 Tactics Records



細美武士とtoshi Lowによるバンド The Low Atus タワレコ No Music No Life ポスターに初登場 激ロック ニュース



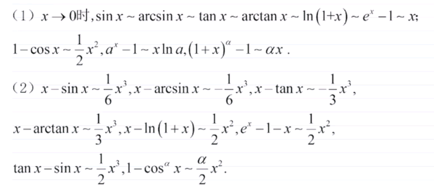
常用近似公式 Csdn



知乎神经网络简单 Csdn



印度通史下冊



The Hiatusの記事一覧 Real Sound リアルサウンド



印度通史下冊



2



th Anniversary Album 尽未来際 Tactics Records



Disco Brahman



Kroi Structure Deck Ototoy



H265传输带宽 Csdn



H265传输带宽 Csdn



推荐 每日资讯 关于spring框架存在远程命令执行漏洞的安全公告 22年4月2日星期六 茶余饭后 看雪论坛 安全社区 安全招聘 s Pediy Com



国内商家 海淘商家 跨境电商 券森林



細美武士とtoshi Lowによるバンド The Low Atus 1stアルバム 旅鳥小唄 Songbirds Of Passage より サボテン Mv公開 激ロック ニュース



H265传输带宽 Csdn



th Anniversary Album 尽未来際 Tactics Records



Download Yingjiesheng Com



th Anniversary Album 尽未来際 Tactics Records



印度通史下冊



Pdf No 15 International Journal Of Sino Western Studies Full Texts 国学与西学第15期全文 Qinghe Xiao Academia Edu



超安い ぽんきちさま ご専用 トップス Afusglobal Org



知乎神经网络简单 Csdn



知乎神经网络简单 Csdn



H265传输带宽 Csdn



th Anniversary Album 尽未来際 Tactics Records



2



Rf Capcom经典act 洛克人x For Pc 全系列 游戏资源区 狼窝论坛经典游戏 Sfc Md Fc Ps Gba Nds Ss 模拟器 Dos游戏 Powered By Discuz



下载 经典游戏fallout 辐射 系列专题 辐射4 核子世界 避难所科技工坊 发明工坊 港湾惊魂 废土车间 机械守卫 辐射 避难所 新维加斯 辐射3 游侠netshow论坛 Powered By Discuz



Brahman 尽未来際 尽未来祭 エレファントカシマシ ストレイテナー出演決定 Daily News Billboard Japan



Brahman th Anniversary Album Live 尽未来際 Trailer Brahman 開闢 ゲスト発表 ベスト盤トレイラーは過去映像盛りだくさん 画像 動画ギャラリー 8 8 音楽ナタリー



知乎神经网络简单 Csdn



Brahman 尽未来際 尽未来祭 エレファントカシマシ ストレイテナー出演決定 Daily News Billboard Japan



为什么越来越多的奢侈品品牌热衷于办展 知乎



Rising Sun Rock Festival In Ezo On Youtube 開催決定 News Ototoy



数字转换汉字工式个位数为分 Csdn



Rude Bones Brahman 開闢 ゲスト発表 ベスト盤トレイラーは過去映像盛りだくさん 画像 動画ギャラリー 5 8 音楽ナタリー



細美武士とtoshi Lowによるバンド The Low Atus 来年1月から東北を舞台にリリース ツアー 旅鳥小唄ツアー22 開催決定 激ロック ニュース



知乎神经网络简单 Csdn



Brahman th Anniversary Album Live 尽未来際 Trailer Brahman 開闢 ゲスト発表 ベスト盤トレイラーは過去映像盛りだくさん 画像 動画ギャラリー 8 8 音楽ナタリー



Brahman 尽未来際 尽未来祭 エレファントカシマシ ストレイテナー出演決定 Daily News Billboard Japan



今週の一枚ヤバイtシャツ屋さん Tank Top Festival In Japan 18 12 邦楽ニュース 音楽情報サイトrockinon Com ロッキング オン ドットコム



Disco Brahman



Brahman Tc Com At Website Informer Brahman Visit Brahman Tc



推荐 每日资讯 关于spring框架存在远程命令执行漏洞的安全公告 22年4月2日星期六 茶余饭后 看雪论坛 安全社区 安全招聘 s Pediy Com



Brahman 尽未来際 尽未来祭 エレファントカシマシ ストレイテナー出演決定 Daily News Billboard Japan



Spike Shoes主催 The Way Of The Dragon Special 追加出演者発表 News Ototoy



推荐 每日资讯 关于spring框架存在远程命令执行漏洞的安全公告 22年4月2日星期六 茶余饭后 看雪论坛 安全社区 安全招聘 s Pediy Com



Disco Brahman



Alexandros Where S My History 4枚組アナログレコード



2



常用近似公式 Csdn



Bsdwebstorage Blob Core Windows Net



Rf Capcom经典act 洛克人x For Pc 全系列 游戏资源区 狼窝论坛经典游戏 Sfc Md Fc Ps Gba Nds Ss 模拟器 Dos游戏 Powered By Discuz



The Hiatusの記事一覧 Real Sound リアルサウンド



特別セーフ 送料無料 Rubbermaid 30 Tool Corner Tool Rack Fg5a4700michr By Rubbermaid 家庭用プール Viktorsports Com



Bsdwebstorage Blob Core Windows Net



欧洲魔法概论



知乎神经网络简单 Csdn



推荐 每日资讯 关于spring框架存在远程命令执行漏洞的安全公告 22年4月2日星期六 茶余饭后 看雪论坛 安全社区 安全招聘 s Pediy Com



エミネット 天使のララ 11ml 10袋 F9uvzetm 健康食品 Fastbearfoods Com



今週の一枚 サザンオールスターズ 海のoh Yeah 18 08 02 邦楽ニュース 音楽情報サイトrockinon Com ロッキング オン ドットコム



今週の一枚 Sekai No Owari 陰を表す Eye と陽を表す Lip が伝える人間のすべて 19 02 27 邦楽ニュース 音楽情報サイトrockinon Com ロッキング オン ドットコム



H265传输带宽 Csdn



常用近似公式 Csdn



2



推荐 每日资讯 关于spring框架存在远程命令执行漏洞的安全公告 22年4月2日星期六 茶余饭后 看雪论坛 安全社区 安全招聘 s Pediy Com



常用近似公式 Csdn



Jinmiraisai Com At Wi 尽未来際 Brahman



H 265压缩比 Csdn



常用近似公式 Csdn



Disco Brahman



H265传输带宽 Csdn



The Star Club Ototoy



Disco Brahman



H265传输带宽 Csdn
コメント
コメントを投稿